The Romberg integration is basically an approximated integration by a combination of the Trapezoidal Rule and the Richardson extrapolation to solve an definite integral of a continuous function f(x).
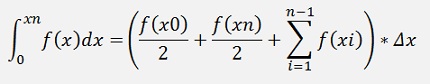
The basic Trapezoidal Rule builds a sequence of Trapezoidal squares below the shape of the function to be integrated and computes the area of these squares.


And with


Here with n = 6
If we have a starting point a and an endpoint b:

Here with n = 6
In a simple function that’s like:
private double Calcrapezodial(int n)
{
int i;
h = (b - a) / n;
m = (f_x(a) + f_x(b)) / 2;
for (i = 1; i < n; i++)
{
m = m + f_x(a + h * i);
}
m = m * h;
return m;
}
With f_x() as the function to be integrated and h as the delta(x), the width of one trapezoid.
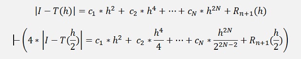
Werner Romberg used the following estimation for the cut off error of the trapezoidal method:
If T(h) is the approximated integral of f(x) from a to b and I is the accurate integral of it, the cut off error is

(Shall nobody ask where that comes from. Its derivation would be a hell of complicate I heard. I just believe it as it is
) It’s
related to h2. That led Romberg to the idea that this cut off error can
be expressed as a polynomial of h2 like:
With ci as constants independent on h and h as the width of one trapezoid again.

A small residue at the end.
To this idea Romberg applied the Richardson extrapolation:
If we set up the formulation for the cut off error for h/2. That is

A small residue at the end.
Multiply that by 4 and subtract the above formulation from it

the part c1 * h2 drops out.
Now Romberg says, if the function to be integrated is rather smooth, c1 > c2 > c3 >….> cN and therefore this subtraction reduces the cut off error.
Now recall: T(h) is the approximated integral for the given trapezoid width h and T(h/2) is the approximation for half the width. If we subtract T(h) – 4T(h/2), we get a new approximation that is 3 times as big but has a smaller cut off error. If we divide this by 3 we get a much better approximation than T(h) and T(h/2) are. This is the basic Richardson extrapolation. But this is not all.
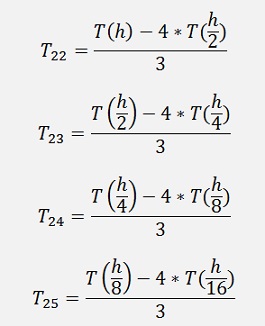
Romberg went a bit further and said: Why not doing this same procedure for h/4, h/8, h/16 and say

and

And with these approximations we do the same again but as in these approximations the h2 part in the cut off error has already vanished we can remove the h4 part by subtracting the second approximation multiplied by 16 and dividing by 15:

That leads to 3 new approximations that are even more accurate than the 4 above ones.
And with these we do the same again to remove the h8 term of the cut off error by:

and from these finally

We get the h16 part of the cut off error removed and a very accurate approximation for our integral for a minimum width of the trapezoids of (b-a)/16. For the sample from above that looks like:

T15 = 0.995232 and has an error of 0.0048 whereas T55 = 1.000000008 and has an error of 0.000000002 only by applying the Richardson extrapolation a few times. That’s quite cool
Now, to put that all into an algorithm, we first have to compute the T1x values and from these the Richardson extrapolations in the triangle as shown above with.

If the loop for i is started at N, for T a 1 dimensional array can be used.
This put in a small procedure is:
private double CalcRomberg(int N)
{
int i, j, k;
double d;
h = b - a;
//trapezoidal rule
for (j = 1; j <= J; j++)
{
m[j - 1] = f_x(a) + f_x(b);
k = (int)Math.Pow(2, j - 1);
for (i = 1; i < k; i++)
{
d = f_x(a + h * i);
m[j - 1] = m[j - 1] + 2 * d;
}
m[j - 1] = m[j - 1] * h / 2;
h = h / 2;
}
// Richardson extrapolation
for (k = 1; k < J; k++)
{
for (i = J - 1; i >= k; i--)
{
m[i] = (Math.Pow(4, k) * m[i] - m[i - 1]) / (Math.Pow(4, k) - 1);
}
m[i] = 0; // just for a better visualisation :-)
}
return t[N - 1];
}
The derivation for the Romberg integration is very theoretical and at the end a really cool algorithm results. I regard this as absolutely fascinating

