Cholesky’s idea is to decompose the matrix A of the matrix equation Ax= b into a lower triangle matrix L and its transposed matrix LT and substitute A to LLTx = b. With these 2 matrixes the equation can be solved in 2 quite simple loops. Therefore another vector y is introduced and the equation LLTx = b is separated into
Ly = b
and
LTx = y
First the parameters of y can be calculated and with these we get the parameters of x which is the solution of the matrix equation. But let’s start at the beginning.
For this we have to start by the multiplication of the 2 matrixes L and LT (therefore I use a 4*4 matrix. The result will be valid for n*n matrixes as well)
L * LT =


and confront it with the originating matrix A

Parameter comparison of the parameters in the first row shows:

(That shows why all the element a11 must be bigger than 0)

That’s the first column of L
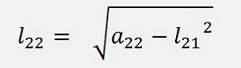
From
a22 = l21 * l21 + l22 * l22
we get

There are some more roots like this. That’s why the diagonal elements should be bigger than or equal to the squares of the other elements in the same row.
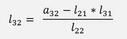
a32 = l21 * l31 + l22 * l32
gives

and
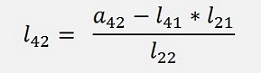
a42 = l41 * l21 + l42 * l22
gives

and we got the elements of the second row.
And the third row is
a33 = l31 * l31 + l32 * l32 + l33 * l33
from this

a43 = l41 * l31 + l42 * l32 + l43 * l33
and so

and finally

But how can this be put into an algorithm?
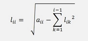
If we look at the elements below the main diagonal, we can see: They are all built by a fraction that consists of aij minus some l elements.
That can be written as

For i > j
And for the main diagonal

This can be put into code like:
private void Cholesky_decomp()
{
int i, j, k;
for (i = 0; i < MaxOrder; i++)
{
for (j = 0; j <= i; j++)
{
if (i > j)
{
l[i, j] = a[i, j];
for (k = 0; k < j; k++)
l[i, j] = l[i, j] - l[i, k] * l[j, k];
l[i, j] = l[i, j] / l[j, j];
}
if (i == j)
{
l[i, i] = a[i, i];
for (k = 0; k < j; k++)
{
l[i, i] = l[i, i] - (l[i, k] * l[i, k]);
}
l[i, i] = Math.Sqrt(l[i, i]);
}
}
}
}
(The return value will be false if there was a calculation error)
This function calculates the matrix L. LT can be got from this by switching the indexes.
Unfortunately we are not done jet. There is still some math to be survived
We want to solve a matrix equation and therefore we have to resolve Ly = b

Carrying out this multiplication and resolving for y gives:

The same we have to do for LTx = y now

Here the multiplication and resolving for x gives:

and the vector x is the solution of our matrix equation.
These 2 sequences can be implemented in 2 loops like:
private void Solve()
{
int i, j;
for (j = 0; j < MaxOrder; j++)
{
y[j] = d[j];
for (i = 0; i < j; i++)
{
y[j] = y[j] - y[i] * l[j, i];
}
y[j] = y[j] / l[j, j];
}
x[MaxOrder - 1] = y[MaxOrder - 1] / l[MaxOrder - 1, MaxOrder - 1];
for (j = MaxOrder - 2; j >= 0; j--)
{
x[j] = y[j];
for (i = MaxOrder - 1; i > j; i--)
{
x[j] = x[j] - x[i] * l[i, j];
}
x[j] = x[j] / l[j, j];
}
}
Now we are almost done. There is only some exception handling missing. There are divisions by ljj in Cholesky_decomp() and in Solve() and ujj can be 0 and before a root can be calculated, it has to be taken care that we don’t try to find the root of a negative value. This has to be handled. Therefore I extended Cholesky_decomp() to return its calculation success as a Boolean type and call Solve() only if this result is true.
Now the solution of our matrix equation is in the vector x.
With this a sample matrix equation of

I got the solution

The Cholesky decomposition is a quite smart approach to solve this special case of a matrix equation. Only this special case seems to be a bit constructed. But there are really cases where this type of matrix is realistic and it can be used. I use the Colesky decomposition in the method of the least squares and in the calculation of periodic splines. There it works perfect
. see
and for some related articles:
C# Demo Project Cholesky decomposation

